T-LAB Home
T-LAB 10.2 - AIDE EN LIGNE Prev Page Prev Page
T-LAB
Introduction
Ce que T-LAB fait et ce qu' il vous permet de faire
Conditions requises et performances
Préparation du Corpus
Préparation du Corpus
Critères Structuraux
Critères Formels
Fichier
Importer un unique fichier...
Préparer un Corpus (Corpus Builder)
Ouvrir un Project Existant
Configurations d'Analyse
Configurations Automatiques Personalisées
Personnalisation du Dictionnaire
Analyse des Co-occurrences
Associations de Mots
Analyse des Mots Associés et Cartes Conceptuelles
Comparaisons entre paires de Mots-Clés
Analyse des Séquences et Analyse des Réseaux
Concordances
Co-occurrence Toolkit
Analyse Thématiques
Analyse Thématique des Contextes Élémentaires
Modélisation des Thèmes Émergents
Classification Thématique des Documents
Classification Basée sur ded Dictionnaires
Textes et Discours comme Systèmes Dynamiques
Analyses Comparatives
Analyse des Spécificités
Analyse des Correspondances
Analyse des Correspondances Multiples
Classification (Cluster Analysis)
Décomposition en Valeurs Singulières
Outils Lexique
Text Screening / Désambiguïsations
Vocabulaire du Corpus
Liste de Mots vides
Listes de Locutions
Segmentation de Mots
Autres Outils
Variable Manager
Recherche Avancée dans le Corpus
Classification des Nouveaux Documents
Contextes Clé de Mots Thématiques
Exporter des Tableaux Personnalisées
Editeur
Importer-Exporter une liste des Identificateurs
Glossaire
Analyse des Correspondances
Chaînes de Markov
Chi-Deux
Classification (Cluster Analysis)
Codage
Contextes élémentaires
Corpus et Sous-ensembles
Désambiguïsation
Document Primaire
Graph Maker
Homographes
IDnumber
Index d'Association
Isotopie
Lemmatisation
Lexie et Lexicalization
MDS
Mots-Clés
Mots et Lemmes
Multiwords
N-grammes
Naïve Bayes
Normalisation
Noyaux Thématiques
Occurrences et Cooccurrences
Polarités Factorielles
Profil
Seuil de Fréquence
Spécificités
Stop Word List
Tableaux de Données
Unité d'Analyse
Unité de Contexte
Unité Lexicale
TF-IDF
Valeur-Test
Variables et Modalités
Bibliographie
www.tlab.it

Valeur-Test


Cette Il s'agit d'une mesure statistique que T-LAB utilise pour mesurer et caractériser deux types de relations:

a) celles qui existent entre n'importe quelle unité lexicale et n'importe quelle catégorie de variables, dont les valeurs respectives d'occurrence sont reportées dans un tableau de contingence;
b) celles qui concernent n'importe quelle ligne ou n'importe quelle colonne d'un tableau de contingence avec les facteurs extraits au moyen d'une analyse des correspondances du même tableau.

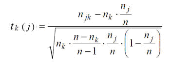
Selon les relations analysées, les formules de la valeur test, extraites d'un des volumes de la bibliographie (Lebart L. Morineau A. Piron M., 1995, pp. 181-184), sont les suivantes:

a)

où "njk" indique les occurrences à l'intérieur d'une cellule, tandis que " nj" et "nk " correspondent respectivement aux totaux marginaux de la ligne et de la colonne;

b)

où " nj " et " j " désignent respectivement les occurrences de l'objet j-ème et sa coordonnée sur le facteur -ème.

La valeur de test possède deux propriétés importantes: une valeur de seuil (1,96), correspondant à la signification statistique plus couramment utilisée (p. 0,05), et un signe (- / +).

Ceci veut dire que, en ordonnant les valeurs en ordre croissant ou décroissant, on peut rapidement identifier l'importance de chaque élément analysé.

 

T-LAB permet une consultation interactive des tableaux avec les valeurs-test.